このブログの更新は X(旧Twitter)アカウント @m_hiyama で通知されます。 Follow @m_hiyama
ご連絡は上記 X アカウントに DM にてお願いします。
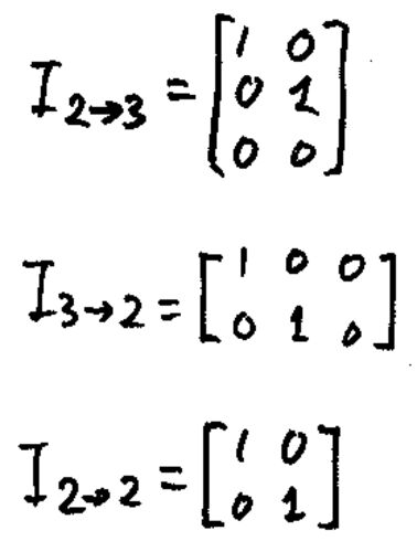
「第4歩」と書いたからと言って続くかどうかはわからない -- というセリフはもうやめよう。はじめの何歩かは進んだから、もう、いつ中断してもいいからな。で、第4歩のネタなんですが、もっともっと実例を出すか、一般的な議論をするか悩みました(少しだけ…
引用をストックしました
引用するにはまずログインしてください
引用をストックできませんでした。再度お試しください
限定公開記事のため引用できません。