このブログの更新は X(旧Twitter)アカウント @m_hiyama で通知されます。 Follow @m_hiyama
ご連絡は上記 X アカウントに DM にてお願いします。
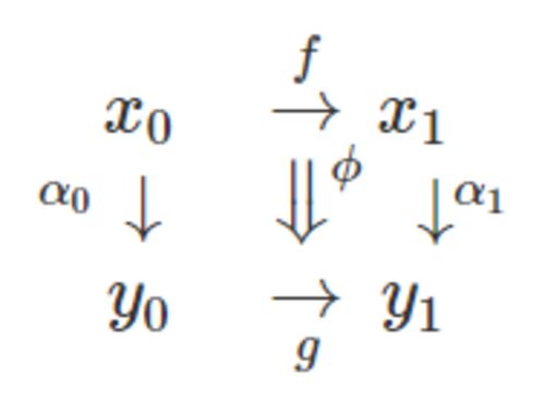
「グリッド計算とコーナリング、そして二重圏」において、二重圏の2-射を描くペースティング図とストリング図を紹介しました。ストリング図では、縦方向ワイヤーは上から下、横方向ワイヤーは左から右で、常識的な書字方向に一致していて「あー、気持ちいい…
引用をストックしました
引用するにはまずログインしてください
引用をストックできませんでした。再度お試しください
限定公開記事のため引用できません。